Búsqueda por año y curso

Entrada destacada

URGENTE! - INFORMACIÓN DE ADMINISTRACIÓN

Queridas familias: Les recordamos que para desarrollar las diversas actividades escolares, los alumnos deberán contar con un seguro de Respo...

miércoles, 4 de noviembre de 2020

3°"A"- IMPORTANTE (Fechas límite de recepción de trabajos)

¡Hola a todos!,¿cómo están? Espero que muy bien.

Paso para comentarles varias cuestiones:

Como saben, entramos en el último tramo del año. Por lo tanto, vamos a organizarnos tanto ustedes como yo para poder transitarlo lo mejor posible y sin corridas de último momento. Si bien sabemos que hay cosas que aún están por definirse y que hemos atravesado un año lleno de inestabilidades e incertezas, focalizaremos en lo que sí se sabe para evitar desprolijidades (o al menos, intentarlo).

  • El tp n° 4, tienen tiempo de entregarlo hasta el miércoles que viene (11/11), lo que no quita que el que quiera, me lo puede mandar antes, como he ido recibiendo algunos en estos días. 

**AVISO IMPORTANTE** Recibiré trabajos atrasados (que sí serán calificados para el segundo bimestre de esta segunda etapa) hasta el mismo miércoles 18/11, luego ya no recibiré más. Recuerden que me estoy refiriendo sólo a aquellos trabajos que fueron publicados A PARTIR DEL 5 DE OCTUBRE, todos los anteriores a esa fecha que no se hayan entregado, deberán ser acreditados en diciembre. En todo trabajo que sea enviado, deberá estar indicado el número de trabajo y su tema.

Cualquier duda, por favor, escriban y consulten. No envíen trabajos antiguos directamente y sin mención al por qué de su envío tan tardío, o sin indicar número y tema.

¡Un beso!

Mariana

3°"B" ICCSyH (IMPORTANTE: Cómo realizar citas- Cronograma y pautas sobre el trabajo de investigación)

 Hola, chicos! Entramos ya casi en el tramo final del trabajo de investigación. Por favor, tengan muy en cuenta que no voy a aceptar trabajos que me manden ya finalizados "de repente", sin haberme hecho las entregas parciales correspondientes como varios de sus compañeros fueron y están haciendo, donde yo haya podido supervisar cada etapa y hacer las correcciones e intervenciones pertinentes. Recuerden que es FUNDAMENTAL seguir y organizar el trabajo de acuerdo con las etapas que he indicado en tantas ocasiones, mediante el blog y en cada uno de nuestros Meet. Si el trabajo no se adecua a esos parámetros, tampoco será aceptado. Por excelente que esté hecho el trabajo, si no se adecua a estas pautas, no será considerado. Venimos desde junio trabajando en la elección del tema y los pasos siguientes, y como saben, este trabajo tiene que dar cuenta de un avance paulatino, gradual y sobre todo, personal. Es por esto que aclaro todo lo que acabo de decir.

Como charlamos en los últimos Meet, ya vamos terminando el marco teórico, podemos avanzar sobre las conclusiones y los anexos, así que les dejo algunos videos sobre cómo citar correctamente la bibliografía que usen en el marco teórico, y que por tanto, estructure sus trabajos. Recuerden que a lo largo del trabajo (no únicamente en el marco teórico) también podrán realizar citas, para reforzar algo que vengan diciendo, por ejemplo.  Como charlamos también, debido al contexto que estamos viviendo, lo más seguro es que lo que más utilicen para enmarcar teóricamente su trabajo sean sitios de Internet. Y aunque así sea, recuerden que les dije que también hay que realizar las citas de esos sitios siguiendo ciertos parámetros. Véanlos tranquilos, tómense su tiempo y anoten lo que les vaya a servir. Luego, revisen todo lo que hayan escrito, y allí donde sea preciso realizar citas, háganlas de acuerdo con lo que se explica en los videos.

* Una primera aclaración: el trabajo de investigación (a diferencia de todos los demás trabajos de esta materia) deberá ser realizado y entregado TIPEADO EN COMPUTADORA.

Les dejo un cronograma sobre cómo seguimos trabajando con el trabajo de investigación:

  • Para el día martes 10/11, deben tener terminado: Introducción, justificación y marco teórico (incluyendo citas de acuerdo con los videos que les dejo hoy). Lo que necesiten irme mandando, lo hacen en estos días.
  • Para el día martes 17/11, deben tener terminado todo lo anterior más el/los anexo/s y la conclusión. Y realizadas y desgrabadas las entrevistas (o encuestas, de acuerdo con el instrumento que vayan a usar, los que lo hagan. Recuerden que los que no las realicen, hemos conversado que deben aclarar en la introducción que se trata de un estudio exploratorio). También me mandan lo que van terminando.
  • La fecha límite de entrega del trabajo terminado, es el 24/11. Por lo cual, hay MUCHO por definir.
**La semana que viene tendremos otro Meet, para hablar sobre las entrevistas/encuestas y demás. En estos días estaré publicando los datos.

**¡¡TENER MUY EN CUENTA!!** Otras cuestiones que hay que atender para la presentación del trabajo:
  • El interlineado debe ser de 1,5 punto (ni simple, ni de 2 puntos, independientemente de lo que diga uno de los videos que hable del interlineado).
  • Todo el trabajo debe estar justificado (vean donde dice "alinear a la izquierda" o "alinear a la derecha" y "justificar", seleccionan todo el texto y ponen justificar, para evitar que quede como "viborita" a la derecha)
  • No se subrayan los títulos ni subtítulos (sí se pueden poner en "negrita"), y el tamaño de éstos puede ser una o dos veces más grande que el resto de la letra, no mil veces, no debe quedar exagerado sino sobrio.
Seguimos definiendo cosas importantes y charlándolas. Cualquier duda, me escriben.

¡Les mando un beso!

Mariana

ECONOMÍA - TP 11 - 4to A - LA TECNOLOGÍA ESPACIAL - VENCE 12/11/2020

 Hola alumn@s:

Les dejo un pequeño video y un cuestionario a responder:

1) ¿Qué lugar en industria satelital ocupa la Argentina en Sudamérica? 

2) ¿Qué se busca para mejorar y qué estrenarían en el 2024?

3) ¿Qué tipo de ingresos le da a la Argentina la actividad espacial? En qué parte de la balanza de pagos ubicaría la venta de satélites argentinos a otros países: Importaciones o Exportaciones?

4) ¿Actualmente hay satélites Argentinos en el espacio? ¿de qué empresa/s?

5) ¿Qué papel juegan los satélites en las telecomunicaciones?

https://www.youtube.com/watch?v=LVr2ZcPqo5k

SISTEMAS ADMINISTRATIVOS - TP 9 - 4to A - COSTO Y GASTO - VENCE 12/11/2020

Hola alumn@s ya falta menos. Les mando este Trabajo Práctico breve y clarificador para el ámbito presupuestario. Buena semana.

Profe Ricardo. 

DADO EL VIDEO QUE SE LINKEA MAS ABAJO RESPONDER EL CUESTIONARIO:

1) ¿Qué es un Costo?

2) Definir Gasto.

3) Diferencia entre Costo y Gasto.

4) Dar un ejemplo de Costo.

5) Dar un ejemplo de Gasto


https://www.youtube.com/watch?v=voskxOZ65Js



TALLER DE REFLEXIÓN 2A Y 2B

 TEMA: SAN PABLO "Un gran misionero de la Iglesia"



    Buen día chicos...
    A continuación les dejo material sobre San Pablo. Él, junto con San Pedro fueron unos grandes misioneros. Dieron testimonio de la Resurrección de Jesús.

¿Quién es San Pablo?
    Pablo era un joven judío de la ciudad de Tarso, una ciudad muy importante en el sur de la actual Turquía. Sus padres lo enviaron a Jerusalén a estudiar las escrituras hebreas. Su nombre judío era Saulo, pero al convertirse al cristianismo se cambió al latín por PABLO.
    Era un joven muy estudioso, inteligente y apasionado. Estaba convencido de que los cristianos estaban equivocados ¿Cómo podía ser Jesús el Mesías, si había muerto crucificado por los romanos? Él, convencido de que era un error, estaba dispuesto a combatir con firmeza estas ideas locas que estaban propagando los seguidores de Jesús por el mundo.
    Pero un día, cuando viajaba de Jerusalén a Damasco persiguiendo a los cristianos sucedió algo que lo hizo cambiar totalmente su vida: 

"Y mientras iba caminando, al acercarse a Damasco, una luz que venía del cielo lo envolvió de improviso con su resplandor. Y cayendo en tierra, oyó una voz que le decía: 'Saulo, Saulo, ¿por que me persigues?'. Él pregunto '¿Quién eres tú, Señor?´. 'Yo soy Jesús, quien tú persigues, le respondió la voz. Ahora entra en la ciudad: allí te dirán que debes hacer' (Hechos 9,3-6).
    A partir de ese día, Pablo se transformó en un gran misionero, enamorado de Jesús y de su mensaje, y recorrió muchos lugares del mundo ¿, donde predicó y fundó nuevas iglesias.
    Pablo realizó cuatro grande viajes alrededor del mundo anunciando la Palabra de Jesús y fundando comunidades.

    Les dejo un video para ver sobre  la biografía de San Pablo:


LOS VIAJES MISIONEROS DE SAN PABLO
    En la biblia, en el libro de los Hechos de los Apóstoles, encontramos los viajes misioneros de San Pablo:
  1. Primer viaje: Hecho Cap. 13 y 14
  2. Segundo viaje: Hecho Cap. 15 a 18, 22
  3. Tercer viaje: Hecho Cap. 19 a 21, 26
  4. Cuarto viaje: Hechos Cap.  21,27 a 28
Saludos y bendiciones 🙏





 

MATEMÁTICA 5A y 5B

 Hola a todos!

Sigamos trabajando con las derivadas, pero primero les dejo las actividades de la clase anterior resueltas.

Y ahora vamos a empezar a manejar las derivadas pero a través de las reglas, van a ver que es más sencillo que aplicar la definición, que quizás con tanta cuenta termina mareando.


DERIVACIÓN DE LAS FUNCIONES ELEMENTALES

Los pasos a seguir para calcular la derivada de una función aplicando siempre la definición, como lo dije antes, resulta poco práctico. Por eso, se usan reglas para poder derivar directamente, estas reglas surgen de aplicar la derivada por definición.


REGLAS DE DERIVACIÓN:

















DERIVADAS DE LAS FUNCIONES ELEMENTALES:











Ejemplos:












DERIVADAS SUCESIVAS:

Se puede calcular la derivada de la derivada, y a ese proceso se lo llaman derivadas sucesivas. Por ejemplo la derivada de la derivada se llama derivada segunda, la derivada de la derivada de la derivada, se llama derivada tercera, y así sucesivamente.







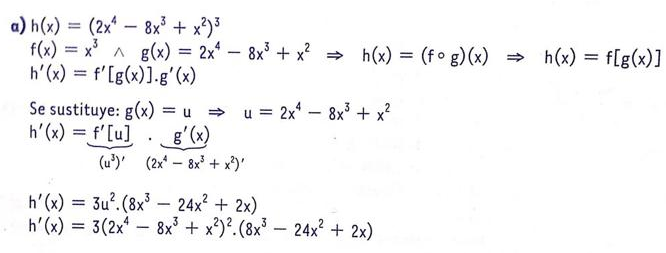
DERIVACIÓN DE UNA FUNCIÓN COMPUESTA:

Sea f∘g =f ⦍g(x)⦎ una función compuesta, la derivada con respecto de x de este tipo de función, se obtiene derivando la función f con respecto a g(x), tomando a g(x) como variable de derivación, y multiplicando dicha derivada por la derivada de g con respecto a x. Esto se llama la regla de la cadena y, para generalizar, sería una cosa así:


Veamos algunos ejemplos:































Ahora, para practicar hagan los ejercicios de la guía de actividades para la clase que viene.


¡Buena semana!


Prof. Agustina (agustina.innocenti@bue.edu.ar)


TUTORIA 2 A

  Buenos Días!!! ¿Cómo están?

Como ustedes saben, hasta el 20 de noviembre el Blogger va a estar activo.  Es por eso que en eL día hoy, voy a subir la última actividad del año. 

IMPORTANTE: los alumnos que todavía me deben el trabajo n° 10 (que son muchos), que habla sobre la perseverancia, deben entregarlo en estos días, tengan en cuenta que actividad o tema que tengan pendiente, lo van a tener en que acreditar en el próximo periodo, así que a ponerse al día. 


TRABAJO N° 11 FECHA DE ENTREGA: 11/11

RESPONDER: 

1) Teniendo en cuenta el transcurso del año ¿Qué te resulto sencillo y en donde tuviste complicaciones en cuanto al colegio?

2) ¿Cómo fue en general tu organización en las materias? Ej cantidad de horas en el día, realizabas las actividades durante la mañana , o la tarde, utilizabas agenda, o calendario del celu, etc.

3) ¿Qué entendes por contenidos nodales de cada asignatura? 

4) Se acerca el periodo de acreditar los contenidos de 1ero aquellos alumnos que lo necesitan ¿Cómo vas a plantearte la organización en caso que tengan pendiente materias?

         

                                                        Les mando un saludo!!!!

TUTORIA 1 A

 Buenos Días!!! ¿Cómo están?



Como ustedes saben, hasta el 20 de noviembre el Blogger va a estar activo.  Es por eso que en el día hoy, voy a subir la última actividad del año. 

IMPORTANTE: los alumnos que todavía me deben el trabajo n° 12 (que son muchos), que habla sobre la violencia, deben entregarlo en estos días, tengan en cuenta que actividad o tema que tengan pendiente, lo van a tener en que acreditar en el próximo periodo, así que a ponerse al día. 


TRABAJO N° 13 FECHA DE ENTREGA: 11/11

RESPONDER: 

1) Teniendo en cuenta el transcurso del año ¿Qué te resulto sencillo y en donde tuviste complicaciones en cuanto al colegio?

2) ¿Cómo fue en general tu organización en las materias? Ej cantidad de horas en el día, realizabas las actividades durante la mañana , o la tarde, utilizabas agenda, o calendario del celu, etc.

3) ¿Qué entendes por contenidos nodales de cada asignatura? 

4) Se acerca el periodo de acreditar los contenidos de 1ero aquellos alumnos que lo necesitan ¿Cómo vas a plantearte la organización en caso que tengan pendiente materias?

         

                                                        Les mando un saludo!!!!



 

 


ADMINISTRACIÓN - 5to A - TP Nº 10 - DESCUENTO DE DOCUMENTOS - VENCE 12/11/2020

 Hola alumn@s:

Les dejo el último TP de Administración. A veces en la Administración de Empresas debo tomar decisiones que me permitan continuar, por ejemplo, con la operatividad del negocio, comprar materia prima, insumos, etc. Para ello tengo que salir al mercado de capitales a buscar efectivo. Es un video de 2 minutos donde describe la operatoria de descuento de un cheque o pagaré, etc.

EJERCICIO A RESOLVER:

Hoy 4/11/2020 recibí un cheque de pago diferido de $ 500.000. La fecha de vencimiento es el 4/1/2021. O sea que para cobrar el importe de 500.000 $ tengo que esperar al año que viene. Tengo que comprar insumos para producir en mi planta fabril y de un Banco me ofrecen y acepto descontar el cheque pero me van a cobrar una tasa de interés anual del 60 %. ¿Cuánto recibiré hoy en dinero por dicho cheque? 

Datos: VN = 500.000 $; i = 60 % anual (ojo); n (vencimiento del cheque en 2 meses)

Se pide: Hallar el VA.


Tener en cuenta estas Fómulas:

Importe Descuento = Valor Nominal (es el valor escrito en el chequee o pagaré) x i (tasa interés expresada en %) x n (tiempo que falta para el vencimiento del documento). O sea:

ID = VN x i x n

Para obtener luego el valor que voy a recibir hoy en $ (denominado Valor Actual) por el cheque o pagaré que estoy cobrando antes de tiempo de vencimiento, debo restarle al Valor Nominal (escrito en el cheque) el Importe del Descuento.

O sea: Valor Actual = Valor Nominal - Importe del Descuento.

Quiere decir que por ej.:  si en el cheque, (que vence el 4/12/2020) decía nominalmente 100.000 $ y me cobraron Intereses por 3.000 $ (36 % anual = 3 % mensual) por pagarme por adelantado (4/11/2020) lo que me llevaría a mi bolsillo sería: 97.000 $. Esto es:

Valor Actual = Valor Nominal - Importe de Descuento.

Importe de Descuento: ID = VN (100.000 $) x i (36/12) % x n (n =1 un mes del 4/11 al 4/12).

ID = 100.000 x 3 % x 1 = 100.000 x 0,03 x 1 = 3.000 $. 

Así el Valor Actual = 100.000 - 3.000 = 97.000 $.

ID= Importe de Descuento

VN= Valor Nominal

VA= Valor Actual

Les dejo un video explicativo adicional. Tener cuidado porque el señor lo convierte a días y el ejercicio que les dejo es en meses, o sea que el mío es mas sencillo:

https://www.youtube.com/watch?v=ohVUVGCUwI4



Historia Orientada 5 A

 Buenas Buenas, seguramente les llegué una batería que trabajos para hacer, pero es el último esfuerzo.

Como ustedes se dieron cuenta, estamos muy ajustado con los tiempos en este año particular, dejando muchos temas sin trabajar, de cual me da mucha pena, ya que nos falto algunas cuestiones importante de la economía en Argentina, varios años nos quedaron pendientes, pero bueno vamos a seguir trabajando un poquito mas. 

la última actividad (que la voy estar corrigiendo la semana que viene ) vimos la economía en tiempos de golpes de estado, ahora vamos a avanzar sobre los gobierno de Perón, como estaba la Argentina económicamente en este periodo. Recuerden que este tema ya lo vimos un poco el año pasado en historia pero ahora vamos a ver la economía en particular. Para eso les voy a dejar unas paginas de un libro, que me pareció sencillo de compresión y bastante resumido.

https://drive.google.com/file/d/1h2WemfitD3FJCSNCR0cDoJEiH77gqdr9/view?usp=sharing

TRABAJO N| 13 

Fecha de entrega: 18/11

1) Leer atentamente el material enviado

2) Realizar una linea de tiempo con los hechos mas importante ocurridos en las 2 presidencias de Perón (1943/1955), todo realizado con el link 

3) ¿Por que es importante la inversión publica para el peronismo? Tengan en cuenta el plan quinquenal y el programa de nacionalizaciones 

4) ¿Qué importancia tenían los convenio de trabajo?

5) En la segunda presidencia de Perón por que el modelo económico peronista entro en crisis? ¿Qué hizo el gobierno para frenar el declive? 

6) ¿Cuáles fueron las principales medidas del segundo plan quinquenal?¿ como reaccionaron los peronistas? 

                                                   Les mando un abrazo y cualquier duda que tengan me escriben!!


Orientación Vocacional 5 A y 5 B

 Buenos Días chicos/as ¿Cómo están? 

Nos estamos acercando al cierre del ciclo, y teniendo en cuenta que el 20 va ser el último día que se podrá subir material o actividad, voy aprovechar a darles el último tema y actividad de Orientación.

Antes de continuar explicando que vamos a trabajar , reitero a todos los alumnos que les conteste el email que deben hacer el CV nuevamente, por favor que no pase de esta semana ya que tengo que empezar a ver la condición de cada uno. ESTAN AVISADOS

En esta oportunidad vamos a ver los conceptos laborales que tiene que tener en cuenta, para comenzar con la inserción al ámbito, para eso, les voy a mandar 2 audios como introducción del tema y una actividad, un poco extensa pero con los derechos y la información que es muy importante que sepan, para hacerlas cumplir y valer sus derechos. 

Audios explicativos 

https://drive.google.com/file/d/1L9irnl5Gbx3Wa-LtbuM3OxIVuPSH0b-b/view?usp=sharing

https://drive.google.com/file/d/144baY8gr3HFhSyh4qMj1d8Gqtjqiweqf/view?usp=sharing

Actividad n°13

FECHA DE ENTREGA: MIERCOLES 11/11 

El alumno que no entrega esta actividad en fecha, aunque todo el año cumplió, va a tener que acreditar en el próximo periodo el tema, porque este trabajo es un contenido relevante de este periodo.

La actividad consiste en leer atentamente la ley de contrato de trabajo 20.744, que regula en nuestro pais y responder las siguientes preguntas. Pueden  buscar en internet como información complementaria, lo que pido es que pongan la fuente en el pie de página, quiero prolijidad, que sea claro, ordenado y sobre todo que cumplan con la fecha. 

http://servicios.infoleg.gob.ar/infolegInternet/anexos/25000-29999/25552/texact.htm

Responder. Cualquier duda que tengan, me pueden escribir, 


1-     1)  ¿Qué promueve la ley de jornada de trabajo Argentina nro 11.544 con respecto a las horas de trabajo?

2-      2)¿Cómo se pagan las horas extras?

      3)  ¿Hay un límite para trabajar horas extras?

 4)  ¿Es obligatorio trabajar un día feriado si el empleador lo pide? ¿Qué beneficio deben ofrecerte?

 5)¿Existen diferentes convenios de trabajo que tengan jornadas de menos horas?

   6)¿Qué es el presentismo?

7-     7)  ¿Qué es el trabajo insalubre?

8-      8)¿Cuántas horas, según la ley, debe trabajar una persona en este tipo de trabajo?

9-     9)  ¿Puedo hacer horas extras?

1010) ¿Cómo saber si estás “en blanco”?

1111)  ¿Qué es el periodo de prueba?

1212) Durante el periodo de prueba, ¿Debo estar en blanco?

1   13) ¿Qué son los “días de estudio”? ¿Cuántos días me corresponden?

1414)  ¿Qué es el aguinaldo?

1515)  ¿Cuándo se cobra?

1616)  ¿Cuánto deberían pagarme?

     17)  ¿A partir de cuántos años de trabajo podría tener 21 días de vacaciones?

1918)  ¿Y un mes de vacaciones?

    19) Explicar brevemente el art 14 bis CN 

                                                                  Les mando un abrazo grande y buen Miércoles!



 



NUEVAS GUARDIAS EN EL COLEGIO PARA EL COBRO DE CUOTAS