Búsqueda por año y curso

Entrada destacada

URGENTE! - INFORMACIÓN DE ADMINISTRACIÓN

Queridas familias: Les recordamos que para desarrollar las diversas actividades escolares, los alumnos deberán contar con un seguro de Respo...

lunes, 6 de julio de 2020

2° "A" y 2° "B"- Formación Ética y Ciudadana (TP 1, Evolución del concepto de Ciudadanía)


¡Hola a todos! Comenzando ya entonces el segundo cuatrimestre, como les he comentado en varias ocasiones y respondido por mail, los trabajos de la primera parte que me hayan enviado (o me sigan enviando), están siendo corregidos pero no calificados (los que hayan sido enviados fuera de la fecha límite que especifiqué), y recibirán - si ya no lo hicieron- su devolución.

Vamos a comenzar a tratar un tema nuevo, que dará origen a nuestro trabajo número 1 (volvemos a numerar así ya que es el primer trabajo, de la segunda parte)

TP N° 1 (Segunda parte): "La evolución del concepto de Ciudadanía"

Les voy a pedir que: 

  • Luego, pasar a la carpeta lo que en él se explica, que no es otra cosa que una cronología que muestra la evolución histórica del concepto de Ciudadanía.
  • Presten mucha atención a quiénes eran considerados ciudadanos en cada época citada y qué implicaba serlo.
Esto lo van a tener terminado para el día martes 13/7, pero aún no me lo van a enviar (todavía).

¡Les dejo un abrazo!

Mariana




2° "A"- Historia (TP 1 "La Reforma Protestante")


¡Hola a todos! ¿Cómo andan? Como saben, ya terminamos de transitar el primer cuatrimestre y comenzamos el segundo, estoy satisfecha con cómo lo llevamos a cabo, a pesar de que nadie sabía en qué iba a desembocar todo cuando empezamos a vivir esta situación tan fuera de lo común. Estuve recibiendo varios trabajos de aquellos quienes por una razón u otra no lograron entregarlos en tiempo y forma, y, tal como les fui respondiendo a cada uno, esos trabajos que me enviaron fuera de la fecha límite que puse no serán calificados pero sí están siendo corregidos y recibirán su correspondiente devolución.

Hoy vamos a comenzar con un nuevo tema (que dará origen al TP n°1 de la Segunda parte), la Reforma Protestante. proceso que tuvo lugar en el siglo XVI y que se originó en Alemania a partir de la acción del monje Martín Lutero. Este movimiento se extendió por varios lugares de Europa occidental asumiendo características propias en cada uno de ellos: Francia, los Países Bajos, Escocia, Inglaterra, etc. Básicamente, se trató de un movimiento de crítica y oposición a ciertas medidas llevadas a cabo por la Iglesia Católica, como por ejemplo, la venta de indulgencias. Este monje alemán, Martín Lutero, se opuso firmemente a que el Papa León X cobrara dinero por ofrecer el "perdón" luego del sacramento de la Reconciliación (vender el perdón luego de que los fieles se confesaran), dando lugar al surgimiento de una nueva fe: el Protestantismo, y generando una fragmentación del cristianismo.
Lutero defendía la libre interpretación de la Biblia (que cualquiera pudiese acceder a leerla e interpretarla) y postulaba la Teoría de la Salvación por la Fe, según la cual, las personas no se salvarían según el dinero que pusieran para la construcción de la Basílica de San Pedro en el Vaticano sino por las obras de verdadera fe que realizaran, eso era lo que Dios tendría en cuenta. 
Por su parte, otro clérigo, pero francés, llamado Juan Calvino, tomó la teoría luterana y la adaptó a la realidad francesa, ideando la teoría de la Predestinación: según Calvino, Dios ya tenía decidido de antemano quiénes se salvarían y quiénes no, y ese destino no se podía torcer. Esta teoría, tuvo muchos adeptos entre los miembros de la burguesía, quienes creyeron ver en su éxito económico, una señal de Dios (se sentían los elegidos debido a que les iba tan bien económicamente). 
En el año 1519, Lutero expuso una lista con noventa y cinco afirmaciones en contra de la Iglesia católica, en la puerta de la iglesia de Wittenberg. Debido a esto, el monje fue excomulgado y tuvo que replegarse en un castillo en Sajonia.

TP N°1 (Segunda parte): "La Reforma Protestante"

Muy bien, les voy a pedir que: 


    • Busquen información sobre el Sacro Imperio Romano Germánico (focalícense a partir del gobierno de Carlos V de Habsburgo, ya que la historia de este imperio es muy larga y compleja. Van a ver que si se sitúan en tiempos de este soberano, va a coincidir con Martín Lutero y estarán vinculados, céntrense en eso) y pásenla a la carpeta. Luego de eso, ponen de título en la carpeta "Reforma Protestante" y copian lo que acabo de escribirles arriba.

  • Les voy a dejar tres videos sobre la Reforma Protestante: véanlos detenidamente, anoten en un borrador los puntos más salientes de cada uno de ellos (háganlo tranquilos, es bastante información al mismo tiempo, y es fácil marearse) y pasen a la carpeta lo que tengan una vez que hayan visto los tres (no repitan información, de cada uno saquen lo que no se explica en el otro)
  • Cuidado cuando escuchen hablar de "Contra- Reforma" muchas veces se llama así a la respuesta de la Iglesia católica ante las críticas del protestantismo, nosotros diremos "Reforma Católica", y para esto nos centraremos en el Concilio de Trento (presten mucha atención a ese punto).

Links a los videos :









Tengan esto terminado para el lunes 13 de julio, pero empiecen a hacerlo ya. No deben enviármelo (todavía), yo les diré cuándo.

Saludos!!

Mariana

Comunicado para 4to B

HOLA A TODOS/AS

LES DEJO UN MENSAJE!!

https://drive.google.com/file/d/1eJIhwIm2aSDfwam0ZMsmb4pMrEvxR2z4/view?usp=sharing

UN ABRAZO GRANDE!!

Comunicado para 3 A

HOLA A TODOS/AS

LES DEJO UN MENSAJE!!

https://drive.google.com/file/d/1dh68sva1US9tSx2SRx3A5Xxloy2TZkUo/view?usp=sharing

UN ABRAZO GRANDE!!

Comunicado para 5to A

HOLA A TODOS/AS

LES DEJO UN MENSAJE!!

https://drive.google.com/file/d/1dp0eI1bskwFHao-KRF9JiMBFzvjOukfr/view?usp=sharing

UN ABRAZO GRANDE!!

Comunicado para 5to B

Hola a todos/as!!


   Les dejo un mensaje!!

https://drive.google.com/file/d/1dJ3fzwrzwASEvH96Juw6zuUmFJN2hI7U/view?usp=sharing
 
  Un abrazo grande para todos/as!!

5A Lengua: Clase 6/07

¡Hola, chicos y chicas! ¿Cómo están? Espero que hayan pasado un lindo fin de semana.

¿Pudieron ver Babilonia? Hoy vamos a seguir trabajando sobre la obra. ¡Lean bien!

Les dejo una lista de 20 preguntas. Ustedes son 20. Entonces, la idea es que vean bien la representación, elijan una pregunta y la respondan en el mural. Una pregunta para cada uno/a. Les pido que en el mural anoten su nombre y apellido y, entre paréntesis, la pregunta elegida. Una vez que alguien eligió una pregunta, esa pregunta ya no queda más disponible. Así que, cuanto más rápido hagan la actividad, mejor, porque van a tener más preguntas para poder elegir.

Les aclaro también que las preguntas están en orden, pero responderlas requiere ver toda la obra, porque hay cosas que se pueden reponer si se ve toda la representación, por más que aparezcan al comienzo. Pueden ayudarse también con el texto dramático.

Por último, estén atentos a los comentarios del mural. Les digo esto porque vienen participando bien en los murales anteriores, pero muchos se olvidan de volver a entrar y responder los comentarios. Si esto ocurre, la actividad no está completa.


Obra:



Texto dramático:


Lista de preguntas para elegir:

1) En los primeros dos minutos, se observa un personaje de anteojos negros que baja la escalera. ¿Quién es? ¿Con quién discute? ¿Quiénes intervienen para frenar la discusión?

2) Hacia el minuto 4:35, entra en escena Otto, de origen alemán. A partir de su conversación con Isabel (hasta el minuto 5:45), ¿qué podemos inferir los espectadores sobre el pasado de este personaje?

3)  Entre los minutos 6:25 y 7:25 Eustaquio y Otto tienen un intercambio que se puede entender a medida que avanza la obra. ¿A qué nos estamos refiriendo? ¿Cuánto tiempo hace que Eustaquio trabaja en la casa? ¿Y José?

4)  Eustaquio afirma: “Mirá, da lástima ver cómo vive esta gente aquí abajo” (6:55). ¿Por qué dice esto? Para elaborar tu respuesta, tené en cuenta diversas situaciones que se presentan a lo largo de la obra.

5) ¿Qué sienten los personajes masculinos por Isabel a lo largo de la obra? ¿Qué piensa Isabel sobre ellos? Justificá tu respuesta describiendo al menos dos situaciones que ocurran en la obra. Señalá en qué momentos se dan esas situaciones (podés indicar los minutos).

6) Hacia el minuto 9:35, José le dice a Lola:  “ese sinvergüenza me está minando el trabajo. Se ha ganado la confianza de la patrona (…) Lo que a mí me ha costado años de servidumbre, (…) ese sinvergüenza lo ha logrado en quince días”. ¿De quién está hablando? ¿En qué consiste el plan que urde a partir de ese momento? ¿Lola está de acuerdo?

7) Hacia el minuto 15:22, Piccione exclama: “¡Madonna Santa, qué Babilonia!”, y Eustaquio agrega: “¡Qué ensalada rusa esta Argentina del vale todo, infectada de gringos!”. ¿Qué significan estas expresiones? ¿Por qué creés que estos dos personajes dicen esto?

8) En el minuto 21:15, Isabel se pregunta: “¿Qué estará pasando ahí arriba?”. En ningún momento vemos qué pasa arriba. Toda la obra transcurre abajo. Sin embargo, lo podemos imaginar: ¿Qué le responderías a Isabel teniendo en cuenta toda la obra?

9) En el minuto 23:15,  Lola dice: “No he podido”. ¿Qué es lo que no pudo hacer? ¿Cómo se conecta esto con la reacción de José en el minuto 26:30, cuando es sorprendido por Lola?

10) Hacia el minuto 27, aparece en escena uno de los personajes de arriba. ¿Quién es? ¿Qué se está celebrando arriba? ¿Qué descubrimos los espectadores a partir de los dichos de este personaje frente a Piccione y a Otto?

11) En la obra, si bien los personajes son criados en pie de igualdad entre sí, se puede afirmar que hay algunos que mandan sobre otros. ¿Quiénes son los que ejercen cierta autoridad? ¿Cómo te diste cuenta?

12) En el minuto 32:42, Eustaquio afirma: “A los tanos y a los criollos nos unen el hambre y la malaria”.  ¿Qué quiere decir con esto? Tené en cuenta el modo en que viven y trabajan los criados en la casa y el contexto histórico.

13) Hacia el minuto 34:25, se produce un revuelo. ¿Qué ha ocurrido? ¿Qué personaje de arriba hace su aparición abajo? ¿Qué quiere decir este personaje cuando afirma (min. 35: 34): “Estamos rodeados, sitiados de gringos famélicos, inútiles y haraganes”? ¿Cómo se conecta esto con el hecho que ha ocurrido arriba y con el contexto histórico de la obra?

14) ¿De qué cosas nos enteramos los espectadores en la conversación entre José y Emilia que comienza hacia el minuto 36 (hasta el minuto 40)? Aparecen hechos importantes y también actitudes / modos de pensar de los personajes respecto de otros. Hacé una lista.

15) Hacia el minuto 40, aparece el tercer personaje de arriba. ¿Quién es y en qué estado se encuentra? ¿Qué les pide a Emilia y a José? ¿Por qué pensás que lo hace?

16) Hacia el minuto 43:30, Alcibíades dice: “Lo llama la patrona”. ¿A quién llama la patrona? ¿Por qué lo llama? ¿Qué tiene que ver el lamento de Carlota (la cocinera francesa) con todo esto?

17) En el minuto 45:30 comienza un momento de baile y festejo entre los criados, pero este momento se interrumpe cuando se escucha desde arriba: “¡Que nadie se mueva! ¡Que nadie salga de la casa!”. ¿Quién exclama esto? ¿Por qué? ¿Qué ocurrió? Tené en cuenta toda la información que manejamos los espectadores, que quizás los personajes no conocen en un 100%.

18) El dueño de la casa, Esteban, aparece en el minuto 47 en escena. ¿Cómo lo describirías? ¿De qué origen es? ¿Por qué está furioso y pregunta “¿Quién ha sido?” (min. 49:55)?

19) Hacia el minuto 52:10, Piccione le advierte a Esteban: “No me ofenda, que si io parlo (…) va a haber escándalo”. ¿Por qué se arma el escándalo? ¿Qué es lo que Piccione revela sobre los patrones? ¿Cómo se conecta esto con la conversación de Piccione e Isabel en el minuto 22?

20) ¿Cómo explicarías el final de la obra? ¿Qué es lo que termina ocurriendo con la alianza entre Otto y Eustaquio? ¿Y con el plan de José y Lola?


¡Los espero! Vuelquen sus respuestas en el mural antes del próximo lunes 13/07.

Nos vemos mañana,
Prof. Ángeles

LÓGICA 4 B

                      
HOLA A TODOS/AS

  • En la última publicación les propuse indagar en la concepción inductivista de la ciencia. Les propongo continuar en ese camino y avanzar hacia otras concepciones. Para tal fin les dejo una serie de preguntas para responder y el material escaneado para poder responderlas.


https://drive.google.com/file/d/1uoFJU_4tI4UF3GJtKd2MxQ64jfUYV3Sx/view?usp=sharing


  1. Qué dificultades se le presentan a la concepción inductivista?
  2. Explicar el conocimiento científico desde el método hipotético-deductivo
  3. Cómo se produce un descubrimiento científico desde la concepción del método hipotético-deductivo?
  4. Cómo se justifican las explicaciones científicas desde el método hipotético-deductivo? 
Les propongo que lo entreguen antes del 15/07

UN FUERTE ABRAZO PARA TODOS/AS

FILOSOFIA 5 A Y 5 B

HOLA A TODOS/AS

  • Uno de los exponentes del idealismo fue Immanuel Kant. A continuación les propongo responder unas preguntas en base a la bibliografía que les he dejando en otra oportunidad (de todas formas la vuelvo a compartir):
https://drive.google.com/file/d/1VzsNCQAaZBjsMruyAUPWP6GOzgAQRI2J/view?usp=sharing


  1. Realizar una breve reseña biográfica de Immanuel Kant
  2. Desarrollar cómo explica Kant el “conocimiento sensible”?
  3. A qué denomina Kant “fenómeno”?
  4.   Cómo explica Kant el “conocimiento inteligible”?
  5.   Por qué se puede afirmar que la postura de Kant se inscribe en el “idealismo”?

Les propongo que envíen las respuestas antes del 15/07.

Les mando un abrazo grande!!

4A - TIC

4A -TIC


 BUENAS!
Semana corta!
A todos aquellos que les realicé correcciones en los flyers, pueden arreglarlos y volverlos a mandar.
Aprovechen la semana para ponerse al día con los trabajos adeudados que son muchos!
BUENA SEMANA!

Orientanción vocacional 5 A Y B


Buenos Días Chicos ¿cómo están? ¡Espero que muy bien, ya descontando los días que faltan para las vacaciones y descansar un poco!

Repaso: En la primera etapa de la materia, nos conocimos, ustedes mismos lograron reencontrarse y observar cuales eran sus gustos, habilidades, intereses, prioridades, y eso los ayudo o confirmo tanto la carrera como las metas.

En el día de hoy, vamos introducirnos al mundo de las universidades, suena imponente, pero les puedo asegurar que es una etapa hermosa, llena de aprendizajes, tanto en estudio como para la vida.

Arrancamos con unas preguntitas, que, por supuesto, la pueden buscar en internet, o preguntarle a un conocido, o simplemente, contestar ustedes mismos con sus palabras, lo que saben sobre el tema.

Fecha de entrega el 15/07 

1)    Responder :

          a) Diferencie las carreras universitarias y las carreras terciarias. Den ejemplos de títulos que brinda cada una.

         b) Explique los siguientes títulos: licenciado, técnico y doctorado.

     c) Teniendo en cuenta la respuesta anterior, coloque los diferentes títulos (licenciado, técnico y doctorado) en el grado de universidad que corresponda (pregrado, grado o posgrado)

 2)       En cada carrera deben identificar si es terciaria o universitaria.

1) Arte y producción artística
2) Abogacía
3)Arquitectura
4) Ciencias políticas
6) Licenciado en economía
7) Traductor público
8) Maestra Jardinera.
9)Administración de empresas
10) Medicina.
11)Director de Fotografía
12) Productor Profesional de Música
13)Sociologia
14)Trabajo social
15)Licenciado en relaciones del trabajo
16)Radiología
17)Psicología
18)Contador
19)Martillero
20) Despachante de Aduana.
21) Enfermería
22)Instrumentista quirúrgica.
23)Técnico superior en minería sustentable
24) Ciencias de la comunicación.

         Les mando un abrazo enorme y nos vemos en los encuentro por ZOOM!!! 




3A Y 3B- TIC

TIC- 3A Y 3B

Semana corta! Realicen la siguiente actividad, no hace falta que me la envíen.
Aprovechen para ponerse al día con los trabajos atrasados que son muchos!!!!
Escribanme sus dudas sobre las definiciones, pregunten por los trabajos, estén en contacto!
Buena semana

Desarrollar tres versiones diferentes de algoritmos para poner platos y
cubiertos en una mesa de tres comensales. Armen los diagramas de flujo prestando atención a las formas.


MATEMÁTICA 1A

Buen día!

A empezar la semana con energía que son sólo tres días!!!

Antes de continuar trabajando, chequeen que las actividades estén resueltas de manera correcta.

POTENCIACIÓN Y RADICACIÓN DE FRACCIONES





Es muy importante tener en claro que todas las propiedades de la potenciación y la radicación que se cumplen para los números naturales, también se cumplen para las fracciones.




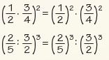
  • Teniendo en cuenta que una fracción no es nada mas ni nada menos que una división, y que la potenciación es distributiva respecto a la multiplicación y a la división, entonces, la potenciación de fracciones se resuelve de la siguiente manera:



  • En el caso de que el exponente sea un número negativo, entonces se siguen los siguientes pasos:


  • Para resolver la raíz de una fracción, también puedo tener en cuenta lo mismo que lo explicado en el primer punto, que la fraccion es una división y que la radicación es distributiva (al igual que la potenciación) respecto a la multiplicación y la división. Entonces:

Otras propiedades que podemos considerar son las siguientes:

  • "En una multiplicación, si las bases son iguales, los exponentes se suman"
  • "En una división, si las bases son iguales, los exponentes se restan"
  • "La potenciaciación y la radicación son distributivas respecto a la multiplicación y división"


  • "La potencia de una potencia se resuelve multiplicando los exponentes"
  • "La raíz de una raíz se resuelve multiplicando los índices"

Aclaremos un poco más estas cuestiones viendo los siguientes videos:











Y ahora, para ver si entendieron, resuelvan las siguientes actividades.


Cualquier cosa, también tienen la clase de la meet de hoy grabada.




¡Manos a la obra!




Prof. Agustina (agustina.innocenti@bue.edu.ar)

1B Lengua: Clase 6/07

¡Hola, chicos y chicas! ¿Cómo están? Espero que muy bien.

Arrancamos hoy el segundo cuatrimestre, así que es un excelente momento para que se pongan las pilas todos aquellos que, por diversas circunstancias, no pudieron participar o no llegaron a entregar todas las tareas. Y, por supuesto, por favor no se duerman en los laureles aquellos que vienen al día y han estado participando muy bien.


Hoy les traigo dos desafíos. ¡Lean bien las instrucciones!

Primer desafío
  • Nivel de dificultad: sencillo.
  • Hay tiempo hasta mañana para participar.
Para los siguientes personajes, pensá tres palabras que describa a cada uno. Podés revisar “Mitos y recuerdos”. ¡Atención! Tienen que ser tres palabras sueltas, no frases.
  • Aquiles:
  • Afrodita:
  • Ulises:
  • Agamenón:
  • Polifemo:
Ahora, pensá: ¿qué clase de palabras utilizaste para describir a los personajes?

Segundo desafío

  • Nivel de dificultad: para valientes.
  • Tienen toda la semana para enviarme sus respuestas.
A continuación, vamos a leer un fragmento del canto 10 de la “Odisea”. En este canto se relata una de las más importantes aventuras que atraviesan Ulises y sus marineros, ya que es cuando llegan a la mansión de Circe. Circe aparece mencionada en Mitos y recuerdos, pero no se relata en detalle qué le pasó a Ulises con ella. Prestá atención y concentrate en las acciones principales:


Ahora escribí la secuencia narrativa, resumiendo lo que leíste. ¡Atención! Solo vale usar construcciones sustantivas.
  1. La llegada de Ulises y sus compañeros a la isla de Eea.
  2. ……………………………………………………………………………………….
  3. ……………………………………………………………………………………….
  4. ……………………………………………………………………………………….
  5. ……………………………………………………………………………………….
  6. ……………………………………………………………………………………….
  7. ……………………………………………………………………………………….
  8. ……………………………………………………………………………………….
  9. ……………………………………………………………………………………….
  10. ……………………………………………………………………………………….
¡Espero sus respuestas! ¡A trabajar!
Saludos,
Prof. Ángeles

MATEMÁTICA 2B

Hola chicos!

Espero que hayan tenido un buen fin de semana.

Les dejo las correcciones de las actividades de la clase anterior.

Les recuerdo que empezamos un nuevo cuatrimestre y es muy importante que se pongan al corriente con la materia.

Les mandé una invitación para tener una meet el Miércoles 15/07. Estaría muy bueno que se conecten y se saquen todas las dudas, ya que el Jueves 16/07 a las 12:00 voy a tomar una actividad integradora.
¡Hagan este ultimo esfuerzo antes de las vacaciones y practiquen!
Los que no puedan conectarse el día de la meet, cuentan con otros canales para comunicarse conmigo!


2A - MATEMÁTICA

2A- MATEMÁTICA

BUENAS!
Semana corta!
Les dejo algunas situaciones problemáticas para que sigan practicando, no hace falta que me los envíen.
Aprovechen para ponerse al día con los trabajos adeudados que son muchos!
Buena semana

PROBLEMAS:

a) Marta tiene 15 años, que es la tercera parte de la edad de su madre. ¿Qué edad tiene la madre de Marta?

b)¿Cuánto mide una cuerda si su tercera cuarta parte mide 200 metros?

c)Hallar tres números consecutivos cuya suma sea 219.

d) El padre de Ana tiene 5 años menos que su madre y la mitad de la edad de la madre es 23. ¿Qué edad tiene el padre de Ana?

e) Dado un número, la suma de su mitad, su doble y su triple es 55. ¿Qué número es?

TUTORIA 1 B

HOLA CHICOS COMO ESTÁN ?? EL OTRO DÍA ESTUVE EN CLASE DE BIOLOGÍA Y ME ENCANTO VERLOS !!!!
VAMOS A ORGANIZAR UN ZOOM PARA VERNOS  Y CHARLAR EN TUTORÍA

QUERÍA CONTARLES QUE EL 30 DE JUNIO TODOS LOS PROFESORES  CERRAMOS  LAS PLANILLAS DE VALORACIÓN. FELICITACIONES  A TODOS LOS QUE PUDIERON CUMPLIR CON LAS ACTIVIDADES Y AQUELLOS QUE TUVIERON DIFICULTADES LES PIDO QUE EN ESTA NUEVA ETAPA CUMPLAN CON TODAS LAS MATERIAS RESPETANDO LOS PLAZOS DE ENTREGA .
SI TIENEN ALGÚN PROBLEMA NO DEJEN DE AVISARME 
TP N  8

ENTREGAR MARTES 14 /7  a mvtorija@gmail.com

LA AUTOESTIMA

En una de las actividades tratamos el tema de autoestima, fue la actividad de ir subiendo escalones
hoy continuamos

Primero leer este artículo



ACTIVIDAD

1) Deben leer la información que esta en el link mencionado anteriormente
2) Contestarlas siguientes preguntas

a)SI TUVIERAS QUE DEFINIRTE ¿QUÉ SEIS CARACTERÍSTICAS DESTACARÍAS DE TU PERSONALIDAD?
b)AHORA BUSCA UN RASGO QUE TE CARACTERICE QUE QUISIERAS CAMBIAR ¿ COMO HARÍAS?
c) REALIZA UNA REFLEXIÓN SOBRE LA FRASE QUE ESTA RECUADRADA AL FINAL DEL TEXTO


2B Lengua: Clase 2/07

¡Hola, chicos y chicas! ¿Cómo están? Espero que hayan pasado un lindo fin de semana.

Les cuento que (¡por fin!) terminé de mandarles por mail las correcciones de las últimas tareas. Oficialmente, entonces, el cuatrimestre está cerrado.

A modo de cierre, me gustaría compartir con ustedes algunas producciones que surgieron a raíz de la consigna de escritura de un cuento fantástico, en la que ustedes tenían el final del cuento, y la propuesta entonces era pensar y escribir un cuento para ese final (por las dudas, la consigna estaba acá).

Debo decir que no recibí muchas entregas, pero los que entregaron, lograron escribir cuentos interesantes y creativos. Por eso, me gustaría compartir algunos con ustedes, para que todos los vean y los lean. También aprovecho para decirles, a quienes por diversas circunstancias no vienen participando o no han llegado a entregar todos los trabajos, que este es el momento de empezar a hacerlo. Mañana vamos a estar empezando con algo nuevo.

Saludos y ¡disfruten la lectura!

Prof. Ángeles

tutoria 1 A

TRABAJO N° 8

Buenos Días chicos/as ¿ como están?

Antes de enviarle otra actividad, quiero recordarles que hay alumnos que todavía me deben el último trabajo, en el cual solicitaba que me escriban unos renglones sobre el cuatrimestre que finalizó, por ejemplo,  como se organizaron, que materias le costo mas y que materias menos. Muy pocos entregaron, así que a ponerse al día!!!!

También quiero felicitarlos a los que estuvieron al día con todas las entregas de la materia, por su cumplimiento y dedicación, a seguir trabajando así, y a los que les costo mas organizarse, les pido que esta nueva etapa, logren entregar todas las actividades en tiempo y forma.

Ahora si, la actividad que realizaron para cerrar el cuatrimestre fue sobre el AUTOESTIMA, se les pidió que me comente en que escalón de autoestima están, y porque, vamos a seguir trabajando el tema y a continuación les mando el link para que lean y luego realicen unos preguntas. 

Fecha de entrega el martes 14/07
Email: anabelladeleo2090@gmail.com
Asunto de email. TUTORIA 1 A 

LINK SOBRE EL AUTOESTIMA

Actividad.
1) Deben leer la información que esta en el link mencionado anteriormente
2) Contestarlas siguientes preguntas

a)SI TUVIERAS QUE DEFINIRTE ¿QUÉ SEIS CARACTERÍSTICAS DESTACARÍAS DE TU PERSONALIDAD?
b)AHORA BUSCA UN RASGO QUE TE CARACTERICE QUE QUISIERAS CAMBIAR ¿ COMO HARÍAS?
c) REALIZA UNA REFLEXIÓN SOBRE LA FRASE QUE ESTA RECUADRADA AL FINAL DEL TEXTO

Un abrazo enorme y que estén muy bien!!!!


3A - MATEMÁTICA

MATEMÁTICA - 3A

BUENAS!
Semana corta!
Aprovechen para enviar los trabajos adeudados, cada vez son mas.
Les dejo ejercicios para practicar, no hace falta que me los envíen.
Buena Semana!

Hallar las ecuaciones de las rectas y graficarlas:

a) Pasa por los puntos A (2;3)  y B (-2;2)

b) Pasa por el punto A(0;3) y B (4;1)

c) Pasa por el punto A (3;1) y tiene pendiente -1.

TUTORIA 2 B

TUTORIA 2 B

TUTORÍA 2 B

HOLA CHICOS COMO ESTÁN ? EL 30 DE JUNIO  CERRÉ LAS PLANILLAS DE VALORACIÓN  . PARA TODOS LOS QUE CUMPLIERON FELICITACIONES !!!! Y PARA LOS QUE TUVIERON DIFICULTADES ES IMPORTANTE  EMPEZAR A ENTREGAR LOS TRABAJOS DE ESTA NUEVA ETAPA   EN TODAS LAS MATERIAS RESPETANDO LAS FECHAS DADAS


TP N 7
ENTREGAR MARTES 14/7  a mvtorija@gmail.com

LEER CON ATENCIÓN



ENTREGAR LA REFLEXIÓN QUE APARECE A CONTINUACION DEL TEXTO

CUALQUIER DUDA O CONSULTA  ME ESCRIBEN  

QUÍMICA - 5A

QUÍMICA - 5A

BUENAS!
Semana corta!
 Les dejo un ejercicio para practicar. Deben colocar los coeficientes para balancear las ecuaciones, no hace falta que me lo envíen.( Tengan en cuenta que los números que ya aparecen deberían ser subíndices)
Aprovechen el fin de semana largo para ponerse al día con los trabajos adeudados, cada vez son mas.
NO SE PASEN LOS EJERCICIOS! ESTÁN COPIANDO ERRORES.
NOS VEMOS MAÑANA EN LA REUNIÓN DE LAS 11! ESPERO QUE PUEDAN PARTICIPAR TODOS!
SALUDOS!

TALLER DE REFLEXIÓN 5 A


TEMA: DOCTRINA SOCIAL DE LA IGLESIA
TRABAJO N°7


Fecha de entrega: LUNES 13/07
Entregar a: anabelladeleo2090@gmail.com

Buenos Días!! ¿como están? Espero que muy bien. Quiero felicitarlos por la dedicación en todos los trabajos entregados del periodo. Sigan trabajando así, con compromiso y entusiasmo!!!!

Vamos a continuar trabajando con el tema de la “Doctrina Social de la Iglesia (DSI)”, y lo vamos a realizar de acuerdo a los vídeos que tenían que ver hace unas semanas (les envió el link) 


CONSIGNAS:
1. Realizar una “infografía en Canva” sobre la Doctrina Social de la Iglesia. Teniendo cuenta los siguientes puntos:
·                     Que es la doctrina social de la Iglesia
·                      Como surge
·                      Para que sirve
·                     Cuales son los principios y valores
2.  Buscar ejemplos sobre noticias concretas en la Web de nuestra realidad social actual en donde debería actuar la Doctrina Social de la Iglesia.

Les mando un abrazo enorme y los esperamos al encuentro de mañana!!!